激光奥特曼游戏(我们从物理学原理出发证明了奥特曼的激光可以拐弯正经玩)

激光奥特曼游戏(我们从物理学原理出发证明了奥特曼的激光可以拐弯正经玩)

admin 2025-11-07 看点 1 次浏览 0个评论

为什么奥特曼不发射能改变方向的激光

这样就不用担心被怪兽躲掉了‍

为了帮奥特曼的激光拐弯

我们从物理学原理出发

做了下面的实验‍

我们从物理学原理出发证明了奥特曼的激光可以拐弯 | 正经玩

实验器材

激光笔,打孔的矿泉水瓶,水盆,支架台‍

我们从物理学原理出发证明了奥特曼的激光可以拐弯 | 正经玩

实验步骤

第一步:

首先将矿泉水瓶的侧面打一个小洞(无奖竞猜,小编的打孔矿泉水瓶是哪一期的?)。

我们从物理学原理出发证明了奥特曼的激光可以拐弯 | 正经玩

第二步:

将激光笔,打孔的矿泉水瓶,支架台以及水盆放到合适的位置,没有特殊角度,只需要保证激光是直直的通过小孔。

我们从物理学原理出发证明了奥特曼的激光可以拐弯 | 正经玩

第三步:

将水缓慢倒入矿泉水瓶中,观察光斑和水流。

我们从物理学原理出发证明了奥特曼的激光可以拐弯 | 正经玩

有趣的现象发生了:激光从小孔出来后并不是直直的射出了,而是随着水流在“流”动,在改变位置!

第四步:

我们再用水盆做一个实验:将激光沿着斜入射的角度射入。

我们从物理学原理出发证明了奥特曼的激光可以拐弯 | 正经玩

光也拐弯了!

第五步:

换个角度再试一下

我们从物理学原理出发证明了奥特曼的激光可以拐弯 | 正经玩

光同样也拐弯了,并且拐的弯更大了!

第六步:‍‍‍‍‍‍‍

将换角度的整个过程展现出来。

我们从物理学原理出发证明了奥特曼的激光可以拐弯 | 正经玩

得证!奥特曼发射激光的时候可以拐弯!

原理解说

经常关注我们正经玩专栏的小伙伴相信已经意识到这种现象的原理,就是光的全反射。

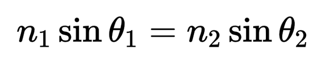
如下图所示,在水柱中的光线来到水柱边界。光的折射满足折射定律,即

我们从物理学原理出发证明了奥特曼的激光可以拐弯 | 正经玩

在入射角θ大于一定值,满足θ=arcsin⁡(n/n)时,折射光线便会消失,所有光线全部在界面处发生反射,即全反射;反射角θ= θ。可以认为水柱的两条边界平行,光线经过反射来到另一边时,入射角不变,依然满足全反射条件。这样如此反复,光线便一直被限制在了水柱中,这也就是激光会随着水流发生弯折的原因。

我们从物理学原理出发证明了奥特曼的激光可以拐弯 | 正经玩

光纤也是类似的原理,利用全反射将光线限制在透明的光纤中,从而实现远距离的信息传输。

转载请注明来自Sjyct,本文标题:《激光奥特曼游戏(我们从物理学原理出发证明了奥特曼的激光可以拐弯正经玩)》

每一天,每一秒,你所做的决定都会改变你的人生!

发表评论

快捷回复:

评论列表 (暂无评论,1人围观)参与讨论

还没有评论,来说两句吧...